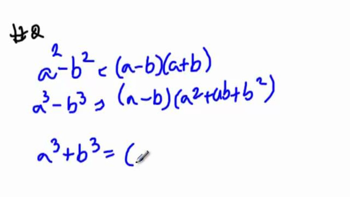
Binomials meet the Cubes - Part 2: Factorisation

http://youtu.be/UZIaSAhXKiI

Video, YouTube

Explores factorisation of sum and difference of cubes.

3 March 2012 Edit: 23 February 2014

Content Type:
VideoYouTube

Submit a correction to this link | Help align this link to NSW Mathematics Syllabuses align this link to The Australian Curriculum


Comments

How have you used this link in your classroom? Share your teaching ideas or leave a review about this link.

Sign in to leave a comment.

There are no comments for this link.

--}