Ext 2 Integration - Lesson 1 Part 2 - Simon Borgert

http://www.youtube.com/watch?v=0Ywp0uqZ5Dk

Video, YouTube

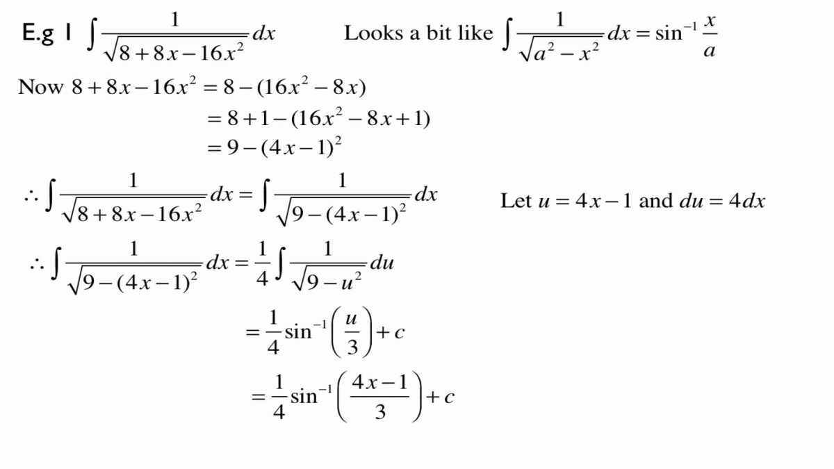
Some slightly harder Ext 2 substitution questions.

See also Part 1.

13 May 2013 Edit: 25 February 2014

Topics:
AdvancedCalculus
Content Type:
VideoYouTube

Submit a correction to this link | Help align this link to NSW Mathematics Syllabuses align this link to The Australian Curriculum


Comments

How have you used this link in your classroom? Share your teaching ideas or leave a review about this link.

Sign in to leave a comment.

There are no comments for this link.

--}