the MathsLinks network
Links
(current)
Faculty
Kit
Starters
Sign up for free
Sign in
Maths
Links
A directory of useful objects found on the web for teaching Maths.
Home
Browse
(current)
Topic
Australian Curriculum
NSW Curriculum
My Favourites
My Lists
Submit a link
Help
Search
Browsing by
Topic:
Showing:
All
Links
Downloads
Previous
27
28
29
30
31
Next Page
Binomial Theorem (Step-by-Step)
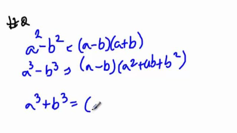
Binomials meet the Cubes - Part 2: Factorisation
Bisection
Bite-sized History of Mathematics
Bits vs Bytes as Fast As Possible
Blank Pie Charts
Block Patterns - NLVM
blocklayer.com
Blood alcohol limits
Previous
27
28
29
30
31
Next Page
Sign in
Email address
Password
Keep me signed in
Sign in
Get updates…
Email newsletter
Facebook
(Twitter)
Blue Sky
Pinterest
Topics
Number
Patterns and Algebra
Data
Measurement
Space and Geometry
more …
Syllabus
Australian Curriculum
NSW Syllabus