the MathsLinks network
  • Links (current)
  • Faculty
  • Kit
  • Starters
Sign up for free Sign in

MathsLinks

A directory of useful objects found on the web for teaching Maths.

  • Home
  • Browse (current)
    Topic Australian Curriculum NSW Curriculum
  • My Favourites
  • My Lists
  • Submit a link
  • Help

Browsing by

  1. Topic:
  • Showing:
  • All
  • Links
  • Downloads
  • Previous
  • 74
  • 75
  • 76
  • 77
  • 78
  • Next Page
Screenshot of Exponential growth and epidemics
Exponential growth and epidemics
Screenshot of Exponential Growth: How Folding Paper Can Get You to the Moon
Exponential Growth: How Folding Paper Can Get You to the Moon
Screenshot of Exponential Outbreaks: The Mathematics of Epidemics
Exponential Outbreaks: The Mathematics of Epidemics
Screenshot of Exponential water tank
Exponential water tank
Screenshot of Expression of a vector in 3D
Expression of a vector in 3D
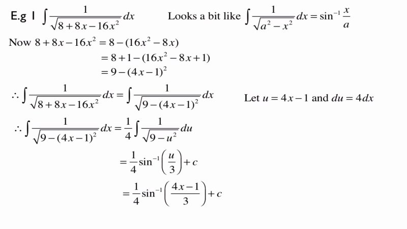
Screenshot of Ext 2 Integration - Lesson 1 - Simon Borgert
Ext 2 Integration - Lesson 1 - Simon Borgert
Screenshot of Ext 2 Integration - Lesson 1 Part 2 - Simon Borgert
Ext 2 Integration - Lesson 1 Part 2 - Simon Borgert
Screenshot of Extension 1 Preliminary Videos
Extension 1 Preliminary Videos
Preview of Extension 2 Proof - Statements (the nature of proof)
Extension 2 Proof - Statements (the nature of proof)
  • Previous
  • 74
  • 75
  • 76
  • 77
  • 78
  • Next Page

Sign in

Forgot your password?
Get updates…
Email newsletter Facebook (Twitter) Blue Sky Pinterest
Topics
    Number Patterns and Algebra Data Measurement Space and Geometry more …
Syllabus
    Australian Curriculum NSW Syllabus

Blue Sky X Facebook Instagram Pinterest Subscribe to feed Email newsletter

the MathsLinks network © 2007–2026 Simon Job | Contact | About

Hosted on Dreamhost. follow.it for email newsletter. Overleaf for LaTeX.

This site was created in a private capacity and is not the work of my employer.